Вода — это единственный продукт питания, без которого человек не сможет прожить более трёх дней. В некоторых случаях можно больше, но тогда могут начаться различные физиологические проблемы. Поэтому в каждой квартире, в каждом доме, на работе, в торговых центрах — везде есть места, где человек может пополнить свой водный баланс.
В своем произведении «Планета людей» Антуан де Сент-Экзюпери написал:
«Вода! У тебя нет ни вкуса, ни цвета, ни запаха, тебя не опишешь, тобою наслаждаешься, не понимая, что́ ты такое. Ты не просто необходима для жизни, ты и есть жизнь. С тобой во всем существе разливается блаженство, которое не объяснить только нашими пятью чувствами.»
В школе на уроке химии нас учили, что химическая формула воды — это H2O и она не имеет ни цвета, ни запаха, ни вкуса. Но тем не менее, употребляя воду, иногда можно ощутить некий привкус металла, заметить потемнение воды и выпадение твердого осадка при отстаивании, почувствовать запашок тухлых яиц, а в чайнике заметить белый налет.
И здесь возникает вопрос: а какую воду мы пьем? Почему иногда она имеет разный цвет, вкус или запах?
Все вышеперечисленные явления не случайны, они обусловлены присутствием в воде разных примесей. Итак, постараюсь описать, какие основные показатели могут быть в воде и как это влияет на её качество.
Жесткость
Большинство городских жителей наливают воду в чайник из-под крана и спустя некоторое время обнаруживают на его внутренних стенках большой слой накипи (налёта, «шубы», кальция). Наиболее внимательные обнаружат такие же отложения на внутренних стенках в котлах, утюгах, стиральных и посудомоечных машинах. Причиной, описанных выше явлений, служит отложение нерастворимых в воде солей Жёсткости. Именно благодаря им стенки нагревательных элементов зарастают толстым слоем твердых отложений.
Но как же это происходит?
Известно, что накипь образуется при нагреве воды. Растворимые соли, содержащиеся в ней, разлагаются на углекислый газ и нерастворимые соли, выпадающие в осадок. Этот осадок откладывается на нагревающих поверхностях внутренних элементов устройств, приводя их в негодность.
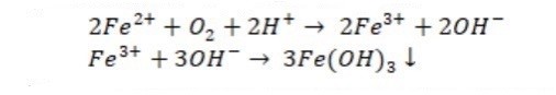
Процесс идёт по химическим реакциям, приведённым ниже:
Этот процесс происходит на любом нагревательном элементе (в стиральной, посудомоечной машинах, утюге и т.д.).
Кроме этого, рачительные хозяйки знают, что иногда мыло в воде очень плохо мылится, а моющие средства очень плохо образуют пену. Из-за этого поверхности плохо отмываются, а белье хуже отстирывается. Чтобы как-то компенсировать ухудшение чистящих свойств хозяйкам приходится использовать большее количество моющих средств.
Причиной этих явлений также является наличие в воде большого количества растворимых солей жёсткости.
Кроме пагубного влияния солей Жесткости на бытовые приборы и моющие средства наличие большого количества солей Жёсткости в питьевой воде негативно сказывается и на здоровье человека. Вот, что об этом говорится на сайте Роспотребнадзора:
«Постоянное употребление воды с повышенной жесткостью приводит к снижению моторики желудка и накоплению солей в организме. От воды, переполненной ионами кальция и магния, чрезмерно страдает сердечно-сосудистая система.» [1]
На сайте Сеченовского Университета есть следующая информация о Жёсткости:
«Если вода минерализована излишне (жесткая), могут возникать осложнения в виде отложения солей различных микроэлементов (фтора, железа, кальция, хрома) во внутренних органах, на зубах, в виде камней (в почках, например), нарушая функцию органов и тканей.» [2]
Подводя итог можно сделать следующие выводы о вреде воды с повышенной жесткостью:
Поэтому люди начинают искать способы от нее избавиться. В устранении жесткости воды помогает Система умягчения.
Железо
Следующий показатель, который довольно часто находится в превышении — это Железо.
Многие владельцы загородных домов со мной согласятся, что на трубопроводах и сантехнике часто появляются рыжие подтёки, а белое белье после стирки приобретает светло-коричневый цвет. Собственники своих скважин знают, что при отстаивании воды в течении некоторого времени она из кристально прозрачной сначала становится слегка коричневой, затем цвет становится более насыщенный, а если выдержать воду длительное время, то она станет прозрачной, но на дне сосуда появится коричневый осадок. В прошлой статье я вскользь упомнила о проблеме воды из скважин.
Эти признаки свидетельствуют о повышенном содержании в воде Железа.
Но почему вода ведет себя именно так?
Если говорить о скважинной воде, то в таком случае основным аспектом является химическая природа воды и железа. В природных водах железо может существовать в разных формах, во многом это зависит от соединений, которые содержатся в воде помимо железа, но наиболее частые случаи – это двух- и трехвалентное железо — Fe2+ и Fe3+, соответственно. В скважинной воде преобладающей формой является двухвалентное железо (Fe2+). Катион Fe2+ бесцветный, поэтому вода, которую только что выкачали из земли не имеет цвета. Однако, ионы Fe2+, находясь на поверхности, контактируют с кислородом воздуха, что приводит к образованию трехвалентного железа Fe3+, который является нерастворимым и имеет характерный рыжевато-бурый окрас.
Этот процесс называется окислением, он довольно хорошо изучен. Окисление железа не происходит в скважине, потому что под землей в воде в достаточном количестве отсутствует кислород.
В случае, описанном выше удалить железо можно без дозирования химических реагентов, а только благодаря контакту кислорода воздуха с водой.
Иногда встречаются случаи, когда кислорода воздуха недостаточно для окисления железа. Например, если в исходной воде железо находится в коллоидной форме – в виде комплексов с природными органическими кислотами. Об этой форме свидетельствует наличие органических соединений, о которых судят по превышенным значениям параметров «Цветность» и «Перманганатная окисляемость». Одним из признаков такой воды может быть, отсутствие изменения цвета с бесцветного на коричневый при отстаивании воды, а также невыпадение осадка. Для удаления такого железа необходимо дозировать специальные химические реагенты.
Если говорить о городских трубопроводах, то судя по последним тенденциям в сфере жилищно-коммунального хозяйства, можно сказать о том, что городской водоканал тщательно следит за содержанием железа в водопроводной сети, однако на некоторых участках может быть установлена старая трубопроводная сеть и запорная арматура, которая проржавела и нуждается в замене. Эти участки могут быть причиной периодических (нерегулярных) случаев выброса трубного железа в сеть.
Какой же вред может наносить вода с большим содержанием железа?
Удалить железо помогает Система обезжелезивания.
Марганец
Наиболее частым спутником железа в воде является марганец. Обычно он содержится в несколько меньшей концентрации, чем железо. Присутствие соединений марганца в природных водах можно объяснить протеканием процесса химического выветривания и растворения марганецсодержащих пород. Кроме этого, источником поступления марганца в подземные воды являются процессы фильтрации стоков, атмосферных осадков, что способствует образованию сложного по химическому составу комплекса загрязнений подземных вод. [3]
Несмотря на то, что наличие марганца необходимо для жизнедеятельности человека, он относится к тяжелым металлам, поэтому попадание больших количеств в организм человека пагубно влияет на здоровье людей, например, поражая центральную нервную систему. Также накопление марганца в организме человека может привести к развитию аллергических реакций, мочекаменной болезни, к проблемам с легкими, с печенью и железами внутренней секреции, закупориванию сосудов и, как следствие, к развитию сердечно-сосудистых заболеваний. Также избыток марганца приводит к заболеваниям костей: они становятся более хрупкими и ломкими, резко возрастает опасность переломов.
При употреблении питьевой воды с повышенной концентрацией марганца, последний может накапливаться и концентрироваться в крови и тканях и как следствие вызвать мутагенное действие. [4]
Удалить марганец помогает Комплексная система очистка воды.
Сероводород (H2S)
Если Вы слышите от воды неприятный запах тухлых яиц, то это говорит о присутствии в ней сероводорода. Но что же такое сероводород? Сероводород – это бесцветный газ, который содержится в воде в растворенном виде. СанПиН 1.2.3685-21 достаточно жёстко регламентирует его количество – до 0,05 мг/л. Данное значение на порядок выше, чем у Железа (0,3 мг/л) или Марганца (0,1 мг/л). Эта мера связана с тем, что в больших количествах сероводород ядовит для человека и животных, следовательно, с ним необходимо очень осторожно обращаться. Опосредованно количество сероводорода можно определить по интенсивности запаха: чем сильнее и неприятнее пахнет, тем его больше.
Удалить сероводород помогает Система обезжелезивания.
В таблице приведены перечисленные выше параметры с указанием ПДК.
Здесь я описала основные параметры, которые чаще всего встречаются в нашей воде, поэтому перед началом использования воды в хозяйственно-питьевых целях рекомендуется делать лабораторный анализ воды, на основе данных которого в дальнейшем подбирается система очистки воды.
[1] Роспотребнадзор, https://12.rospotrebnadzor.ru/rss_all/-/asset_publisher/Kq6J/content/id/282021
[2] Сеченовский Университет, https://www.sechenov.ru/pressroom/news/istina-v-vode-skolko-nuzhno-pit-otvechaet-vrach-dietolog/
[3] Крайнов С.Р. Геохимия подземных воды хозяйственно-питьевого назначения.
[4] Морозов С.В. Марганец в питьевой воде.
Комарова Людмила Владимировна, руководитель отдела телемаркетинга.
Смирнова Анастасия Дмитриевна инженер-технолог, кандидат химических наук РХТУ им. Д.И. Менделеева
