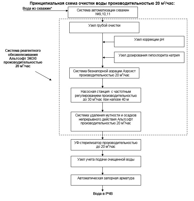
Источник водоснабжения: скважина №9,10,11 ст. Сибирцево
Назначение: хозяйственно-питьевые нужды
Производительность:— Номинальная: 20 м³/час — Суточная: 480 м³/сутки
Режим работы: непрерывный
Требование к системе очистки воды:
— снижение содержания мутности, цветности, железа, марганца до норм СанПиН 2.1.4.1074-01;— обеззараживание очищенной воды.