Комплексная очистка воды для газовой водогрейной котельной
ООО «Тепловые сети Балашихи»
Исходные данные:
• Объекты коммунального назначения 30 микрорайона по адресу: Московская область, г. Балашиха, Балашихинское шоссе 4 (территория войсковой части 13815); • Номинальный расход воды при подпитке сетей 1-ая система: 12,5 м3/час; 2-ая система: 25 м3/час; • Номинальный расход воды при заливке сетей 1-ая система: 25 м3/час; 2-ая система: 50 м3/час; • Суточный расход воды при подпитке сетей 1-ая система: 300 м3/сутки; 2-ая система: 600 м3/сутки; • Суточный расход воды при заливке сетей 1-ая система: 600 м3/сутки; 2-ая система: 1 200 м3/сутки; • Источник водоснабжения – гор. водопровод (г. Балашиха); • Назначение – подготовка воды для подпитки/заливки тепловых сетей; • Режим работы: непрерывный при подпитке сетей; периодический при заливке сетей; • Материал труб обвязки:ПВХ; • Подача воды на первую систему очистки воды ХВС осуществляется с расходом до 25 м3/час при напоре не менее 45 м и не более 60 м, на вторую систему – до 50 м3/час при напоре не менее 45 м и не более 60 м
Параметры исходной воды Заказчика:
Наименование
Исходная вода*
Параметры воды на выходе из систем водоподготовки,
не более
Мутность, мг/л
0,07
Не нормируется
pH (отн. единиц)
7,45
6-9
Общая жесткость (мг-экв./литр)
до 7
0,02
Общее Fe (мг/литр)
до 1
0,3
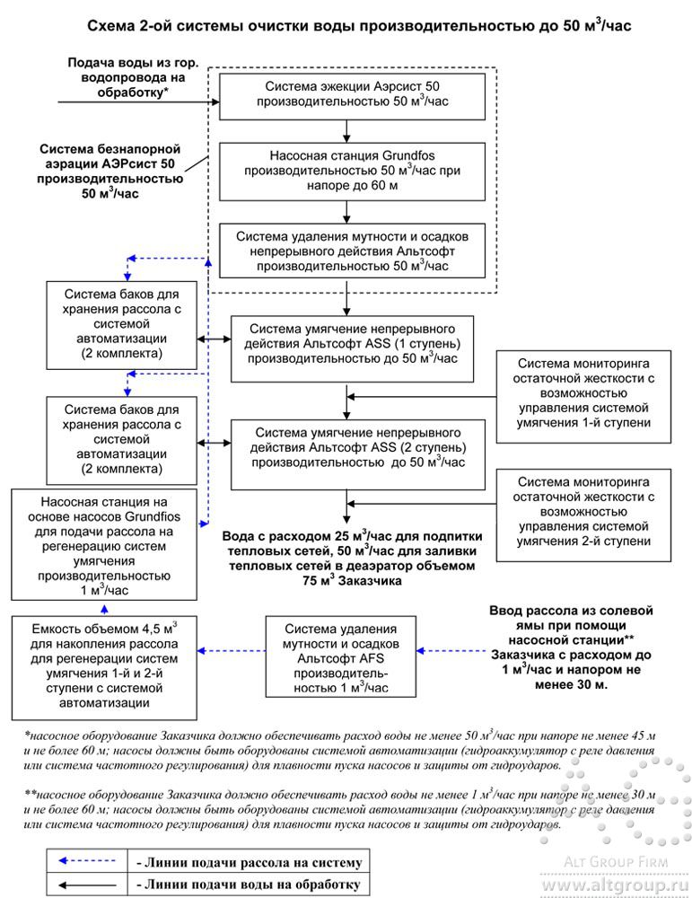
Принципиальная схема очистки воды:
Схема 1-ой системы очистки воды производительностью до 25 м3/час
Схема 2-ой системы очистки воды производительностью до 50 м3/час
Требования к системе очистки воды следующие:
— снижение содержания железа; — умягчение до величины жесткости 0,02 мг-экв./л; — автоматический контроль жесткости после каждой ступени умягчения; — удаленный контроль с возможностью дистанционного изменения установок и параметров работы фильтров системы водоподготовки по протоколу связи Modbus RTU.