Система умягчения для линии розлива воды первой категории качества ЗАО «Мелисса» (первая категория)
Цель: водоподготовка для линий розлива воды первой категории качества
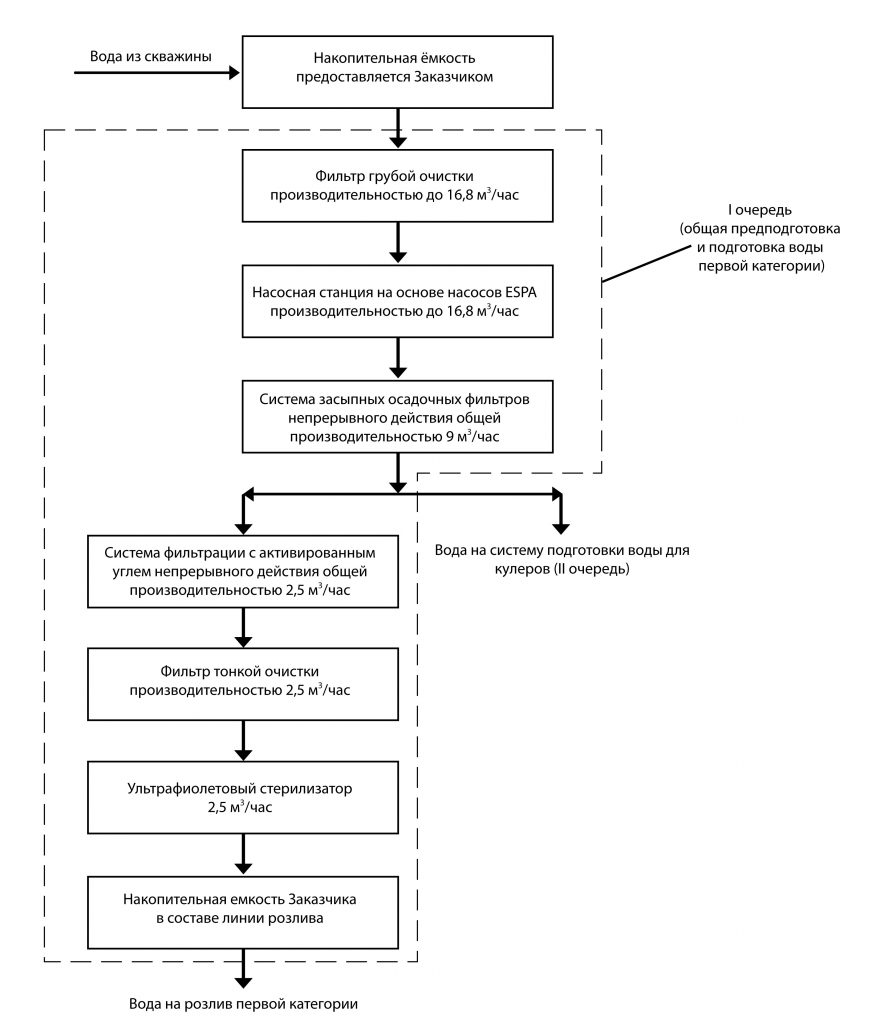
Источник водоснабжения: скважина Производительность: общей водоподготовки (с учетом последующей установки системы водоподготовки для розлива воды для кулеров) — 9 куб.м/ч системы водоподготовки для розлива воды 1-ой категории — 2,5 куб.м/ч Режим работы: непрерывный
Принципиальная схема очистки воды:
Требования к системам очистки воды следующие: — уменьшение мутности, — улучшение органолептических показателей, — тонкая очистка воды, — обеззараживание.